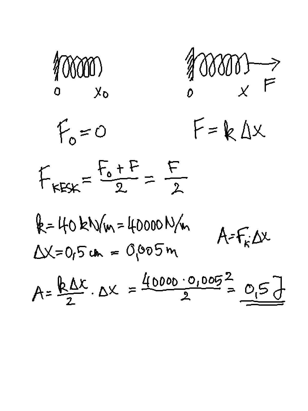
Rehkendus, keskmine jõud

Töö arvutamine eeldades, et vedrule mõjub keskmistatud jõud, rehkendus.