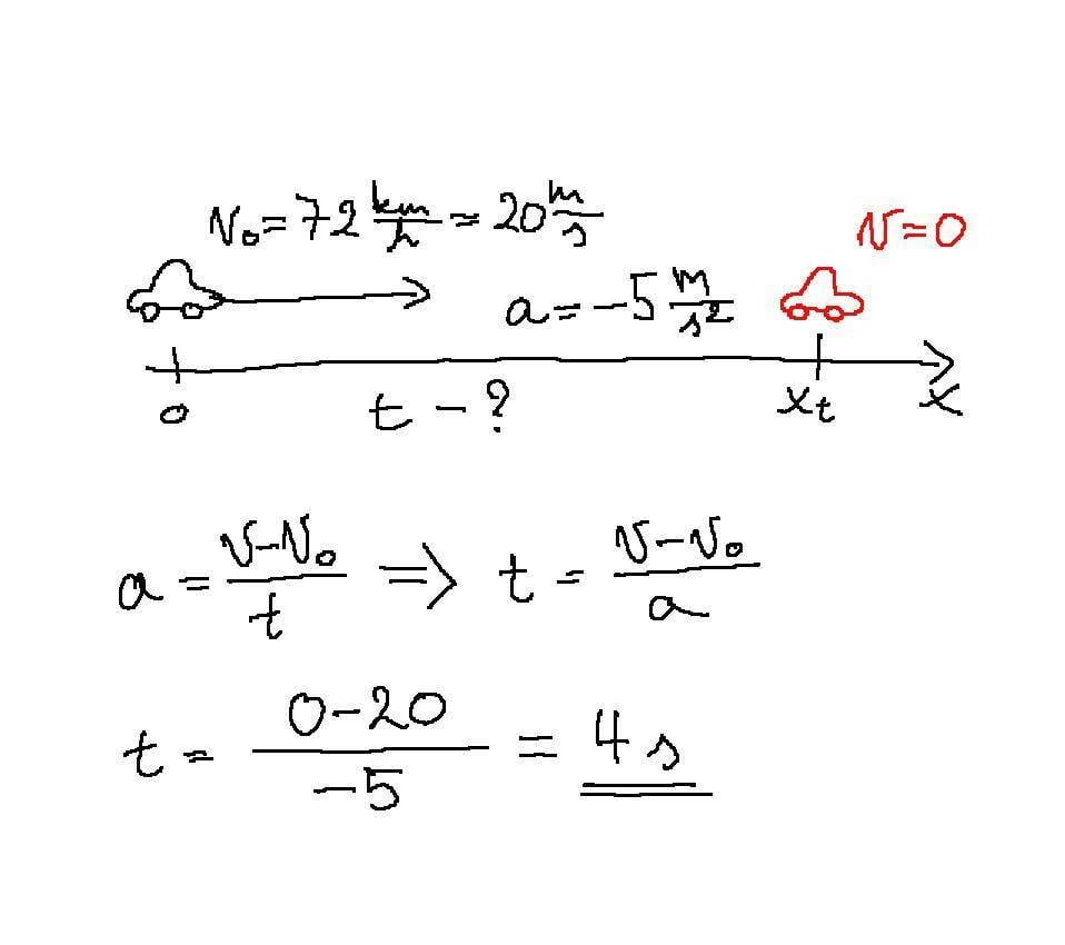
Rehkendus