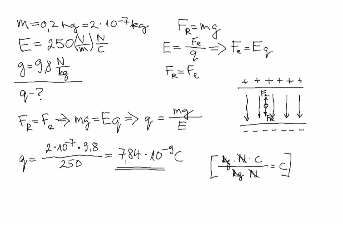
Õlipiisk homogeenses elektriväljas: rehkendus

?lesande lahendus