
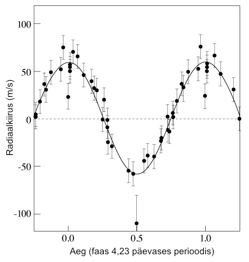
Joonis 200. Star 51 Peg line-of-sight velocity changes The points are individual measurements, the solid line is the matching of observations with periodic oscillation. We can see that the error of individual measurements is only about 10 m/s, which is an extremely remarkable achievement. Source: https://ase.tufts.edu/cosmos/view_picture.asp?id=1325 (original Nature article)