
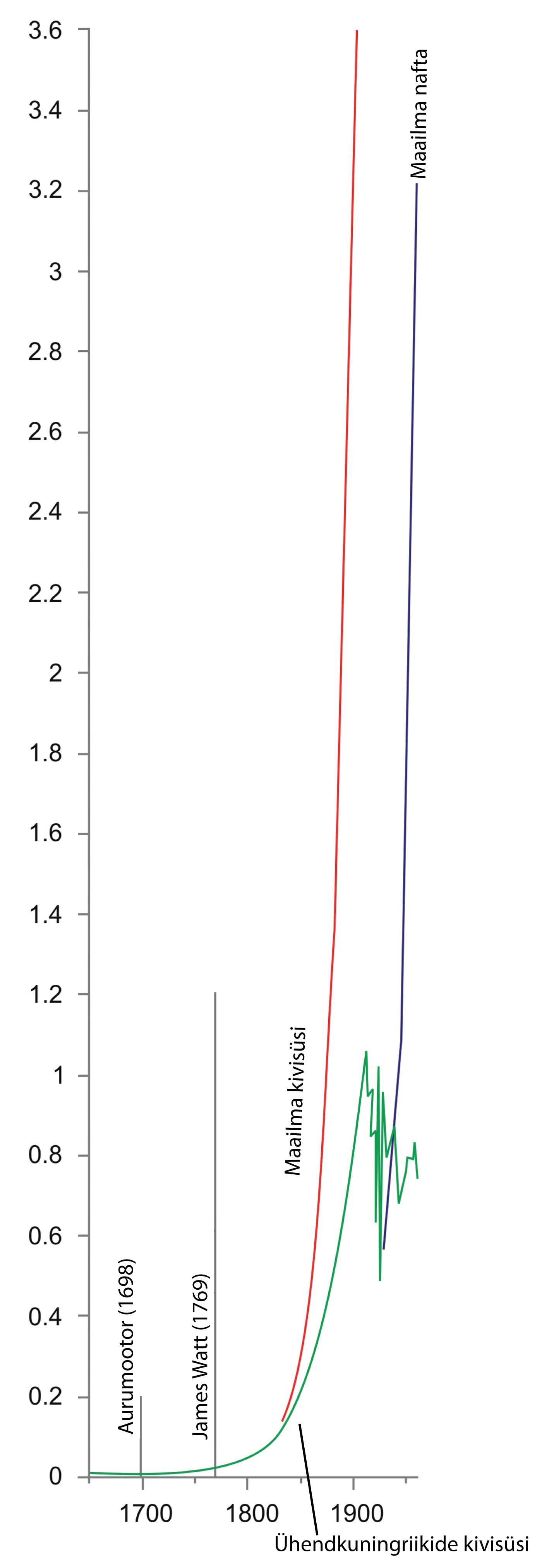
Joonis 1.6: Mis juhtus edasi. Suurbritannia ning maailma kivisöetoodangu ajalugu aastatel 1650 kuni 1960 samas skaalas nagu Joonis 1.5.

Joonis 1.6: Mis juhtus edasi. Suurbritannia ning maailma kivisöetoodangu ajalugu aastatel 1650 kuni 1960 samas skaalas nagu Joonis 1.5.