
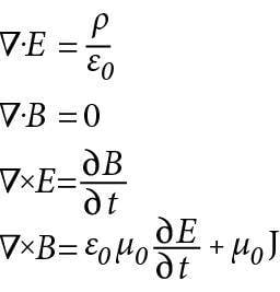
Need ongi kuulsad Maxwelli võrrandid, mis kehastavad ühtaegu nii füüsika võlu kui ka valu: nende nelja valemirea sisse on peidetud enamus selle kursuse sisust ja rohkemgi veel. Aga on vaja näha vaeva selleks, et osata neid valemeid ka lugeda.
© FYYSIKA.EE