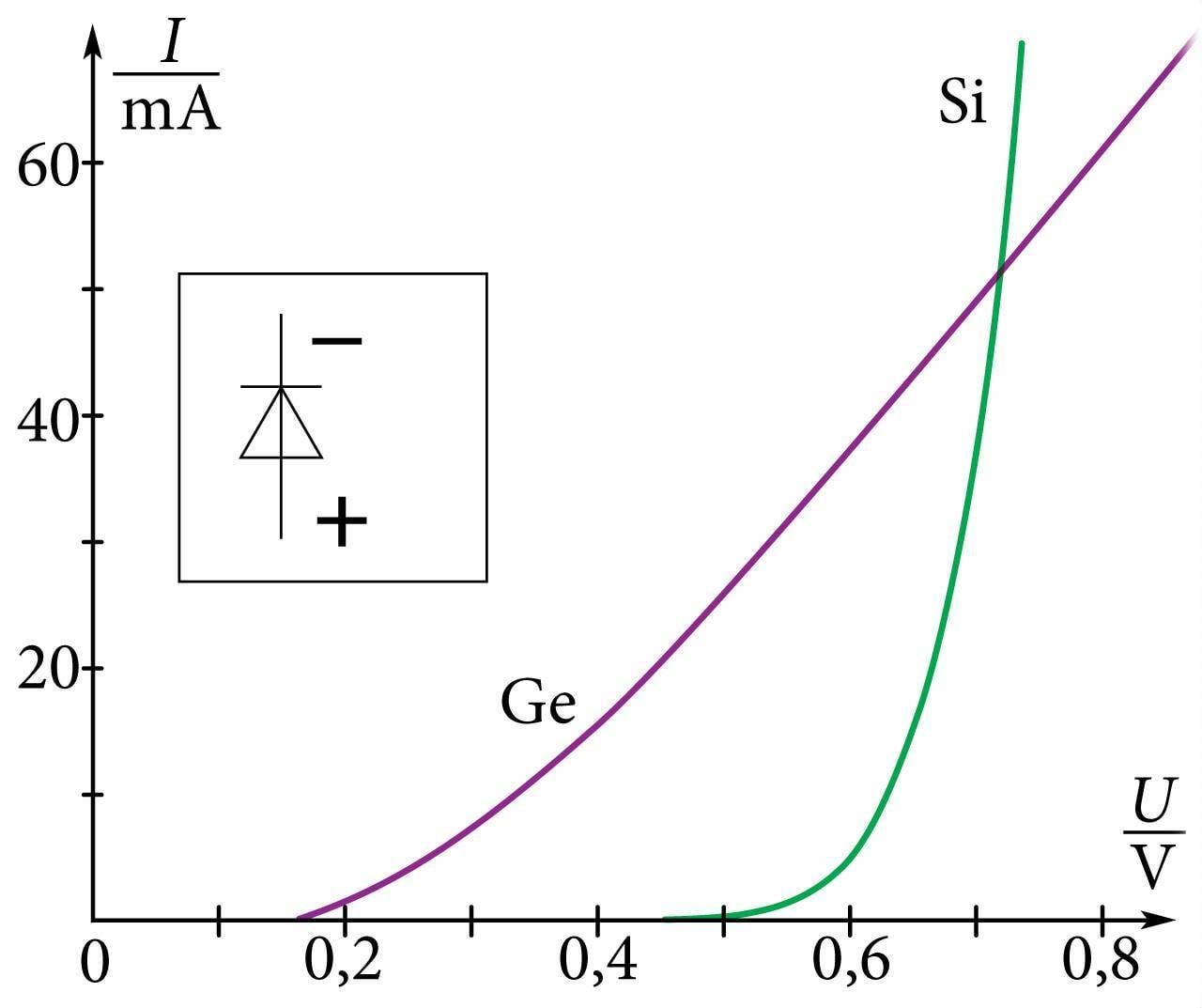
Dioodi tunnusjooned